

地址:北京市密云区高岭镇政府办公楼
王经理 13393261468
Q Q:514468705/1049705527
邮箱:jhcxkj@163.com
1 发电机组的技术及构造特点
柴油发电机组(简称发电机组)是由柴油发动机(简称发动机,因为比汽油发动机劲大,中、大型发电机组都用柴油发动机)的曲轴(主轴)刚性连接着同步发电机(简称发电机)的转轴(转子轴)同速、同步转动发电的机器。为了有足够大的力量带动发电机发电,发动机的输出功率比发电机的输出功率大1.6~2倍。这称为匹配比。
根据技术及构造的需要,专用于发电机组的发动机若无特殊要求,其主轴的转速都是1500r/min(25r/s)。这是因为发电机定子三相绕组和中间的转子励磁绕组的构造特点,当发动机带着转子轴转动时,转子上励磁绕组的电磁场扫过三相绕组,绕组所产生的电压频率正好是50Hz。符合国家电力标准。
这就是说,发电机的输出频率是由发动机转速决定的。要想发电机组在额定输出功率范围内,无论负载如何变化都能保持输出频率稳定,那就必须用稳频装置实时调控发动机的转速。
2 频率波动的成因与影响
与市电相比,再大输出功率的发电机组都是微不足道的。由于其输出功率容量有限,所以它对负载的输入功率、输入电流高次谐波分量、输入功率因数等都有适应性要求。否则就会使用电设备和发电机组都处于不良的工作状态之中。
(1)电压和频率波动的成因
发动机带着发电机发电时,其定子内的三相绕组以120°电角度顺序向负载输出电压和电流。一般情况下,输入功率相当于发电机组输出功率60%左右的用电设备接入发电机组输出端时,就会引起频率和电压明显甚至强烈的波动。这是因为负载此刻要输入很大的电流,从而导致三相绕组内电流猛增,此电流产生的强大电磁力吸引发电机转子,使其转速随之变慢,频率和电压瞬间低落。可见用电设备接入时需要输入多大的电流,是它和发电机组能否处于正常工作状态的关键因素。
(2)测试曲线分析
在某国外知名品牌柴油发电机组上做过接入重负载试验,测试曲线如图1所示。

图中虚线曲线表示不加入负载调节模块时发电机组输出频率、电压和转子轴功率在重负载接入时的波动曲线。
图1下面的P(power)功率曲线在0~0.5s时升至最高值,表明发动机因重负载的接入而立即增加功率给发电机转子轴,尽力维持电压、电流和频率的不变。0~0.2s之间曲线的小波折是由于负载中的电抗成分瞬时反应造成的。图1上面的U(voltage)电压曲线,变化规律与P曲线一致。在0~0.2s时电压突然低至额定值的0.8,说明负载中容抗成分起主要作用。到0.5s时充电到最大值。
中间的F(frequency)频率曲线在0~0.5s时间段已下降到额定值的0.95左右,表明重负载的接入引起频率迅速下降。
0.5s以后,过度过程加剧。定子绕组感抗成分和负载的容抗成分之间充放电电流剧增,无功功率在1.5s左右达到峰值,致使发电机转子再次被定子绕组的电磁场吸滞而转速变慢,发电机组输出频率低至额定值的0.83(F曲线)。
1.5~3s之间是重负载接入引起的电路过渡过程减弱并结束的时间,电压(U曲线)、频率(F曲线)和转子轴功率(P曲线)都迅速达到正常值。从重负载接入时频率在3s内的变化状况(F曲线)可以看出,频率波动与负载的大小和性质有很大关系。
(3)频率波动的影响及应对
频率的波动不仅对用电设备产生影响,也对发电机组自身的工作状态造成*。数据中心的发电机组被ATS切入,对UPS供电时刻,或大或小的频率波动随之产生。这对于依靠输入电压频率和相位调控电路输出量值(整流器电路)或改变电路工作状态(旁路系统)的UPS必然造成*。有的会使整机处于不良工作状态,严重的会导致整机不能工作。
其实频率波动对UPS和发电机组的影响也是相对的,恰当地选择两者的功率比是有效地应对措施。实际工作中得到的经验是:对于输入功率因数接近于1,输入电流高次谐波分量小于10%的高频UPS,其输入功率在发电机组额定输出功率80%以下时,频率的波动不会影响正常工作。而工频UPS只能选择55%以下。
3 相关的规范
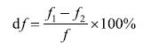
有关频率的参数也是发电机组技术标准的主要条目。定义了稳态频率调整率df和频率稳定时间t。前者表示负载变化后频率的最大或最小值f1与额定负载时的频率f2之差,同额定频率f之比的百分数,即
常用的发电机组df值不大于3%,据此算出频率波动值为1.5Hz。可见对用于发电机组的发动机转速的稳定能力要求很高。对于频率稳定时间t,标准要求在2~5s。即负载变化引起的过渡过程越短越好。
4 发电机组的稳频装置
能实时调控发动机的转速,以确保发电机在额定输出功率范围内,负载无论如何变化均能确保频率稳定,是对专用于发电机组的发动机的主要技术要求。为此,新技术的稳频装置不断出现。
(1)电子调速器
电子调速器的工作原理框图如图2所示。电子调速器是一种自动调节装置,它根据发电机组负载的变化,自动增减喷油泵的供油量和最佳喷油时刻,使发电机组能够以稳定的转速运行。

电子调速器的特点是,它将发动机的各功能部件的工作状态智能地联系并协同成一个整体,综合研判它们的实时参数并求得最佳值,以此作为指令将燃油按照最适宜的时刻和油量由电磁阀(油门)喷入汽缸爆燃,驱动主轴转动,使发动机在额定的输出功率范围内,无论被驱动负载怎样变化,都能以迅速、精确的调控确保转速稳定在25r/s。它的工作程序是:位于主轴和凸轮轴的两个转速传感器将信号送至转速计数器,得出实时的发动机转速,并在转速分析模块与来自数据库的最佳算法及预设转速一起解析求出转速差值。喷油量及喷油时刻确立模块把转速差值、数据库来的典型值和从发动机采集的相关数据进行全面分析,确立出最佳的喷油量及喷油时刻并指令喷油驱动器打开喷油电磁阀,使发动机既可将燃油充分地爆燃转为驱动主轴转动的机械能,又可减少污染物的排放。
(2)自动电压调节器(AVR)
AVR安装在发电机内,其功能是将因负载接入造成的输出电压跌落值负反馈地调控成转子磁场的增强,从而促使输出电压返回正常值。在此功能上加入负载调节模块,当重负载使发动机主轴转速低于设定值时,模块自动调节电压下降一定量,等同于负载量减少相应值,促使发动机能较快地达到额定转速。从而显著地削弱了由于重负载接入引起的频率和电压波动。如图1中的实线曲线所示。这就有效地减少了对用电设备的*。
(3)并联运行机组监控卡
发电机组并联运行,常用于提高电力供应可靠性的冗余供电或对已有机组的增容。并联运行中的各发电机组不仅要求输出电压的相序相同,输出电压的幅度、频率和相位也要相等,而且共同承担的负载的有功功率和无功功率,应在每台发电机组之间均分。装在每台发电机组中的并联运行机组监控卡实时采集以上六项数据,依照最佳并联运行数据模型和算法,计算、推演这些数据并得到最宜的调节量调控本机组,保证其处于良好的并联运行状态。同时还将这些数据传送给其它发电机组与其同步。
各发电机组输出频率的稳定和同步是并联运行的重要条件之一。造成频率变化的原因是并联运行各机组共用的输出母排所连接的负载在接入、撤出中引起的有功功率变化。因为有功功率是负载中的电阻消耗发电机的输出电流而形成的,电流的变化引起发电机定子电磁场对转子吸引力的变化,即发电机转速的变化,也就是输出频率或相位的变化。实际工作中部分负载的接入、撤出是常有的事,所以频率变化也就随之出现并且造成各机组之间有功功率分配的不平均。此时监控卡从采集的数据中解析出调控频率的量值,控制发动机电子调速器改变发动机主轴的转速,即改变发电机的输出频率,使并联机组恢复到良好的运行状态。图3示出了频率调节量的求解过程。

部分负载接入或撤出并联机组母排的时刻,必然引起有功功率、无功功率在并联的各机组之间重新平分,以致出现机组环流和各机组频率的波动。此刻,并机卡将本机的有功功率、频率和相位与并机母排上的相对应的这三个参量分别进行求解,得到有功功率变量δP、频率变量δf和相位变量δΦ。数据处理器依照最佳并联运行数学模型及经典数据对它们计算、推演,求解出调节频率最佳数值δf/δt作用于频率(转速)调节器和电子调速器,改变发动机主轴、发电机转子的转速,使本机组频率及有功功率的均分达到并联机组良好运行的条件。
5 使用及维护经验
不仅要搭配好UPS和其他用电设备与发电机组的关系,使这个系统平稳运行,而且更要重视日常的使用和维护工作。
①一个月内至少应该做一次模拟市电中断,让发电机组根据ATS指令起动,然后按预定的时间接入UPS及其它用电设备,运行15min。以检验系统的可靠性。
②发电机组上安装的铅酸蓄电池,是市电中断后机组起动和电子调速器工作的唯一电源,很重要。要每两个月对其浮充电压和内阻检测一次,察看有无漏液、接线端子松动等现象。
③发电机组工作时自身的振动很大。每两个月仔细检查一次电子调速器和机组上各传感器的信号电缆、插头是否可靠。
④转速信号传感器通常安装在主轴飞轮外齿圈和凸轮边上,这些地方易受到油污。当发电机组出现输出频率不稳或周期性摆动时,要首先考虑可能是严重的油污使电磁传感器信号变弱甚至部分消失所致。
⑤汽缸上的喷油电磁阀(油门)故障或外部接线松动、断开,会造成汽缸停止工作。这时发动机工作节奏会出现异常,驱动力变弱。严重时会使发电机输出电压和频率变低。
⑥发动机转速变高并且不可调控。这多数是由于低压电源问题导致的电子调速器失电而无法工作造成的。
⑦发动机工作正常但发电机输出电压振荡。可能的原因是自动电压调节器AVR工作失常或者电源、信号线断路引起。
⑧发电机组带载运行过程中输出电压突然低落还调不回来。如果发动机运行正常,很大可能是电压调节器损坏而起不到调控、稳定输出电压的作用。
⑨空载时发电机组输出电压正常,一接入负载电压就跌落。这种现象可能是因为电压调节器中的负载调节模块参数设置太高。
6 结束语
发电机组在输出电力的过程中,稳频装置起到为负载设备和机组调节出适宜的工作条件的重要作用。了解它们的工作机理、参考其维护经验,可以使数据中心的发电机组总是处于良好的工作状态。
作者简介
张振毅,航天科技集团公司710所高级工程师,本刊编委。
编辑:Harris
关键词:ups电源参数http://www.hnll8.com/list-3-1.html